Inquadramento
La disfunzione ventricolare sinistra su base ischemica è una causa frequente di mortalità e di ospedalizzazione per scompenso. Rimuovere il substrato di questa patologia, trattando le arterie coronarie stenotiche, è stato considerato un mezzo potenzialmente efficace di migliorare la prognosi dei pazienti. Sono stati eseguiti due studi randomizzati per verificare questa ipotesi: il primo, lo STICHES, ha dimostrato una superiorità dell’intervento di bypass aortocoronarico (CABG) di ridurre la mortalità a 10 anni (ma non a 5 anni) rispetto alla terapia medica[1]Velazquez EJ, Lee KL, Jones RH, et al. Coronary-Artery bypass surgery in patients with ischemic cardiomyopathy. N Engl J Med 2016;374:1511–20. https://doi.org/10.1056/NEJMoa1602001; il secondo, il più recente REVIVEDBCIS2, ha fallito l’obbiettivo in quanto non è stata osservata alcuna differenza in un endpoint composito (mortalità e ospedalizzazione per scompenso) a 3.4 anni di follow-up tra un gruppo randomizzato a PCI e uno a terapia medica ottimale[2]Perera D, Clayton T, ÒKane PD, et al. Percutaneous revascularization for ischemic left ventricular dysfunction. N Engl J Med 2022;387:1351–60. https://doi.org/10.1056/NEJMoa2206606. Non è chiaro se queste disuguaglianze siano dipese da una difforme efficacia dei due strumenti di rivascolarizzazione, dalle differenti popolazioni studiate o da una evoluzione della terapia medica, divenuta ora più competitiva nei confronti delle metodiche di rivascolarizzazione.
Lo studio in esame
Sono stati analizzati i dati individuali dei pazienti inclusi negli studi randomizzati STICHES, eseguito tra il 2002 e il 2007 e REVIVED-BCIS2, eseguito tra il 2013 e il 2020. Globalmente i pazienti erano 1.912 in 4 gruppi così suddivisi:
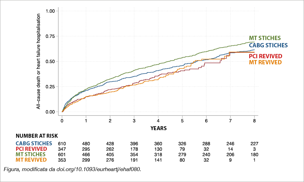
- CABG + Medical Therapy STICHES (n=610);
- Medical Therapy (MT) STICHES (n=602);
- PCI + MT REVIVED (n=347);
- MT REVIVED (n=353). L’età media era 63.6 anni, la FE media era 27%.
I pazienti nel gruppo MT REVIVED erano meno frequentemente in classe NYHA III-IV (23%) rispetto a quelli nel gruppo MET-STICHES (37%). Era stato impiantato un defibrillatore nel 22% del gruppo MT-REVIVED, rispetto al 3% dei pazienti in MT-STICHES (p>0.001). L’outcome primario (mortalità, ospedalizzazione per scompenso) nella popolazione globale è mostrato nella Figura: gli eventi si sono verificati in misura maggiore nel gruppo MT-STICHES. Nella popolazione “propensity-score matched” (calcolato su età, sesso, diabete, nefropatia cronica, FE) l’outcome primario è stato raggiunto con minore frequenza nel gruppo MTREVIVED che nel gruppo MT-STICHES (HR 0.46 0.34–0.62, p<.001). Rispetto a quest’ultimo gruppo, anche CABG STICHES (0.62 0.45–0.84, p=.002) e PCI REVIVED (HR 0.61 0.43–0.87 p=.007) hanno avuto un outcome migliore. I pazienti nel gruppo CABG-STICHES non hanno ricevuto un beneficio rispetto ai pazienti del gruppo PCI-REVIVED, sia nella popolazione globale che in quella “propensity-matched”. Considerando la mortalità per ogni causa e quella cardiovascolare, esse sono state più elevate nel gruppo MT-STICHES rispetto a tutti gli altri gruppi. L’evenienza di infarto miocardico è stata invece inferiore nel gruppo CABG-STICHES rispetto a tutti gli altri tre gruppi (sia nella popolazione globale che quella “propensity-matched”).

Take home message
I pazienti con cardiomiopatia ischemica in terapia medica nelle studio REVIVED-BCIS2 hanno avuto una prognosi migliore rispetto a quelli inclusi nello studio STICHES, sia in terapia medica che rivascolarizzati con bypass aortocoronarico. I progressi attuali compiuti nel trattamento medico di questi pazienti rendono problematica l’applicabilità pratica di risultati di trial eseguiti in epoche precedenti.
Interpretazione dei dati
Il messaggio principale dello studio consiste nell’aver evidenziato un miglioramento dell’outcome dei pazienti con cardiomiopatia ischemica, trattati con la sola terapia medica nel periodo intercorso tra l’esecuzione dello STICHES trial (che ha arruolato tra gli anni 2002 e 2007) e il REVIVED BCIS2 trial (che arruolato tra il 2013 e il 2020). Anche se non si può negare che sia attualmente disponibile una serie di nuovi farmaci che hanno positivamente influito sulla prognosi di questi pazienti (eplerenone, sacubitril/valsartan, gli inibitori SGLT2 empaglifozin e dapaglifozin) gli Autori forniscono poche informazioni sull’utilizzo di questi farmaci nel trial più recente. Le informazioni disponibili riguardano i betabloccanti, gli inibitori del sistema reninaangiotensina e gli antagonisti del recettore dei mineralcorticoidi, con percentuali non molto dissimili di utilizzo nei due trial in questione. L’unica differenza accertata riguarda l’impianto di defibrillatore, certamente più frequentemente utilizzato nello studio più recente, anche se il numero di morti improvvise non è riportato. Vi è da sottolineare che il database comune ai due trial, così come presentato nelle tabelle del manoscritto, è piuttosto scarno e non esclude che vi siano differenze cliniche tra le due popolazioni randomizzate. Inoltre va segnalato che vi era un maggior numero di pazienti in classe NYHA III e IV nei pazienti STICHES rispetto a quelli inclusi nel REVIVED BCIS2, mentre altre variabili prognosticamente importanti non sono menzionate (differente utilizzo di diuretici? differente volumetria ventricolare? differente estensione di aree cicatriziali con conseguente diverso rischio aritmico?). I confronti di dati storici possono essere utili quando compiuti all’interno di una stessa tipologia di trattamento (ad esempio pazienti trattati con PCI in epoche diverse) per individuare i progressi compiuti in quell’ambito, ma non debbono mai essere applicati per confrontare metodologie differenti di trattamento. Ad esempio, dal presente studio risulterebbe, all’analisi “propensity-matched”, che la mortalità per ogni causa sarebbe stata significativamente minore nei pazienti trattati con PCI nello studio più recente (REVIVE BCIS2) rispetto a quella osservata con bypass aortocoronarico nello studio STICHES. Non esistono studi di confronto tra le due tecniche di rivascolarizzazione che abbiano mai mostrato un dato simile. Una delle conseguenze dello studio, sottolineano gli Autori, riguarda la problematicità di applicare nella pratica routinaria attuale i risultati dello studio STICHES, visto che i progressi della terapia medica (che costituiva il gruppo di confronto rispetto alla rivascolarizzazione con bypass) hanno consentito di migliorare notevolmente la prognosi dei pazienti con cardiomiopatia ischemica. Tuttavia, questa obiezione potrebbe valere per tutti gli studi che necessitino di tempi prolungati sia per l’arruolamento che per il follow-up. Inoltre, anche i pazienti operati possono giovarsi dei progressi della terapia medica senza contare i potenziali miglioramenti della tecnica chirurgica (si pensi ad esempio a un maggior utilizzo dei condotti arteriosi e un ricorso più frequente a procedure intraoperatorie di ablazione in pazienti affetti da fibrillazione atriale).
Editoriale: “Terapia medica associata o meno a rivascolarizzazione coronarica nella disfunzione ventricolare sinistra ischemica: la metanalisi dei dati a livello individuale degli studi REVIVED-BCIS2 e STICHES”
A cura di: Marcello Galvani – Fondazione Cardiologica Myriam Zito Sacco, Forlì
La disfunzione ischemica del ventricolo sinistro (VS) è causa comune di insufficienza cardiaca, la cui incidenza sembra essere in aumento[3]Conrad N, Judge A, Tran J, Mohseni H, Hedgecott D, Crespillo AP, et al. Temporal trends and patterns in heart failure incidence: a population-based study of 4 million individuals. Lancet … Continua a leggere.
Nonostante il prolungamento della vita offerto dal continuo progresso della terapia medica e dei dispositivi impiantabili, la morbilità e la mortalità di questa condizione rimangono infatti elevati[4]Lawson CA, Zaccardi F, Squire I, Ling S, Davies MJ, Lam CSP, et al. 20-year trends in cause-specific heart failure outcomes by sex, socioeconomic status, and place of diagnosis: a population-based … Continua a leggere.
Si è da molto tempo ipotizzato che in questi pazienti la rimozione del substrato ischemico, mediante rivascolarizzazione coronarica, potesse migliorarne gli esiti attraverso la ripresa contrattile di quote di miocardio non irreversibilmente danneggiato (il cosiddetto miocardio “ibernato”[5]Rahimtoola SH. The hibernating myocardium. Am Heart J 1989;117:211–21. https://doi. org/10.1016/0002-8703(89)90685-6. e quindi della funzione ventricolare sinistra globale. Tuttavia, gli unici due studi randomizzati che hanno affrontato questo problema hanno prodotto risultati discordanti[6]Velazquez EJ, Lee KL, Jones RH, Al-Khalidi HR, Hill JA, Panza JA, et al. Coronary-Artery bypass surgery in patients with ischemic cardiomyopathy. N Engl J Med 2016;374:1511–20. … Continua a leggere. Nel follow-up esteso dello studio Surgical Treatment for Ischaemic Heart Failure (STICHES), che ha reclutato i partecipanti tra il 2002 e il 2007, il trattamento con bypass aorto-coronarico (CABG) ha ridotto a 10 anni la mortalità per tutte le cause rispetto alla terapia medica, sebbene non vi fosse stata alcuna differenza nell’analisi iniziale a 5 anni. Al contrario, nello studio Revascularization for Ischaemic Ventricular Dysfunction (REVIVED-BCIS2), con reclutamento dal 2013 al 2020, il trattamento con intervento coronarico percutaneo (PCI) non ha ridotto l’endpoint primario combinato di mortalità per tutte le cause e ospedalizzazione per insufficienza cardiaca a una mediana di 3,4 anni dalla randomizzazione.
I risultati contrastanti di REVIVED-BCIS2 e STICHES hanno innescato un intenso dibattito: la divergenza dei risultati è stata dovuta alle diverse modalità di rivascolarizzazione, ai progressi nella terapia medica o alle differenze nelle caratteristiche dei pazienti? Il CABG avrebbe comunque fornito un beneficio incrementale rispetto alla terapia medica contemporanea utilizzata in REVIVED-BCIS2? Per rispondere almeno in parte a questi quesiti i ricercatori principali dei due studi hanno sviluppato un dataset di variabili comuni che combinasse i dati completi dei singoli partecipanti a STICHES e REVIVED-BCIS2 e, su questo, condotto una metanalisi basata sul tempo trascorso fino al singolo evento per ridurre le conseguenze della durata profondamente differente del followup tra i due studi. Tale indagine prevedeva anche un’analisi di propensità per attenuare le differenze delle caratteristiche di base delle due popolazioni[7]Ryan M, Petrie MC, Kontopantelis E, et al. Medical therapy and outcomes in REVIVED-BCIS2 and STICHES: an individual patient data analysis. Eur Heart J 2025; 46, 2052–2062.
In sintesi, i risultati della metanalisi sono stati che i pazienti con cardiomiopatia ischemica (CMI) trattati con terapia medica nello studio REVIVED-BCIS2, con e senza PCI, hanno avuto esiti migliori rispetto a quelli dello studio STICHES, con o senza intervento di CABG. Gli Autori concludono che sono necessari ulteriori studi che confrontino CABG, PCI e terapia medica in questi pazienti. Per quanto l’impegno nel controllare le differenze tra le due popolazioni sia stato massimo, le differenze basali non misurate potrebbero essere alla base delle differenze osservate, ad esempio quelle derivanti dalle differenze nei criteri di inclusione negli studi. REVIVED-BCIS2 richiedeva infatti la presenza di un’ampia vitalità miocardica (accertata perlopiù mediante risonanza magnetica cardiaca) e, sebbene le analisi secondarie di STICHES indichino che la maggior parte dei pazienti STICHES sottoposti a studio della vitalità (circa la metà dei pazienti arruolati) presentava un’ampia vitalità, è possibile che l’inclusione di coloro che non avevano vitalità, a causa della presenza di ampie aree cicatriziali, abbia selezionato una popolazione ad alto rischio[8]Panza JA, Ellis AM, Al-Khalidi HR, Holly TA, Berman DS, Oh JK, et al. Myocardial viability and long-term outcomes in ischemic cardiomyopathy. N Engl J Med 2019;381:739–48. … Continua a leggere. A supporto di questa supposizione sta il fatto che, pur a fronte di valori medi di frazione d’eiezione del VS (FEVS) simili (27%), la percentuale dei pazienti STICHES che avevano in precedenza avuto infarto miocardico era significativamente superiore a quella dei pazienti REVIVED (77% vs 50%). Inoltre, i pazienti idonei all’arruolamento in STICHES avevano, indipendentemente dalla presenza di vitalità, una malattia coronarica adatta alla rivascolarizzazione chirurgica, mentre venivano arruolati nel REVIVED-BCIS2 solo pazienti con malattia coronarica estesa, trattabile con PCI e obbligatoria dimostrazione (perlopiù alla risonanza magnetica cardiaca) di vitalità in almeno quattro segmenti miocardici disfunzionanti suscettibili al trattamento percutaneo. Inoltre, REVIVED era composto principalmente da pazienti in classe NYHA I e II, mentre i pazienti dello studio STICHES erano più sintomatici per scompenso cardiaco, con l’86% del braccio CABG e l’85% del braccio terapia medica ottimale (OMT) in classe funzionale NYHA II o III; il 43% di entrambi i bracci avevano angina di classe II secondo la Canadian Cardiovascular Society. Infine, REVIVED-BCIS2 includeva una popolazione di pazienti più anziani, con un’età media di 70 e 69 anni rispettivamente nei gruppi PCI e OMT, mentre l’età media nello studio STICH era di 60 e 59 anni rispettivamente nei gruppi CABG e OMT. Al di là delle importanti differenze di età e classe funzionale, è possibile dunque pensare che, sebbene ambedue gli studi abbiano arruolato pazienti con CMI e FEVS <35%, diverse dimensioni di cicatrice miocardica ischemica e di miocardio vitale unitamente a differenti estensioni di malattia coronarica (in STICHES la prevalenza di pazienti con malattia di 0/1 vaso era 25%, mentre in REVIVED-BCIS2 era 11%), possano aver influenzato i risultati del confronto diretto tra i due studi. Tuttavia, l’aspetto più rilevante della metanalisi è rappresentato dall’esito particolarmente favorevole osservato nei pazienti REVIVED trattati con terapia medica.
Infatti, il confronto tra i bracci trattati con sola OMT ha mostrato una riduzione del rischio di morte per tutte le cause o ospedalizzazione per scompenso cardiaco del 40% nel REVIVED-BCIS2 rispetto a STICHES, con un significativo aumento di 50 mesi del tempo di sopravvivenza libera da eventi. Si può infatti apprezzare, in ragione delle differenti epoche di arruolamento, una differenza significativa sia nell’intensità che nella tipologia della OMT utilizzata. Nei pazienti STICHES, ACE-I/ARB sono stati impiegati nel 90%, beta-bloccanti nel 85% e MRA nel 48%. Percentuali superiori di impiego di questi 3 pilastri terapeutici sono state osservate nei pazienti REVIVED: ACE-I/ARB sono stati utilizzati nel 90%, beta-bloccanti nel 93% e MRA nel 53%. Gli ARNI non erano disponibili durante l’arruolamento dei pazienti STICHES (furono approvati nel 2015), mentre erano già impiegati nel 16% dei pazienti REVIVED al momento dell’arruolamento, percentuale che salì al 34% al follow-up a 2 anni. Non è al contrario possibile esprimersi sull’uso di inibitori SGLT2 in REVIVED dal momento che in ambedue gli studi si fa solo riferimento all’impiego di “ipoglicemizzanti orali” (28% e 29%, rispettivamente).
Infine, i dispositivi impiantabili (defibrillatore con o senza resincronizzazione cardiaca), che costituiscono un aspetto fondamentale dell’OMT, sono stati impiegati più frequentemente nei pazienti REVIVED rispetto a STICH (21% vs 2% al momento dell’arruolamento). Infine, il rischio di morte e di ospedalizzazione per scompenso cardiaco è stato del 39% inferiore nei pazienti REVIVED sottoposti a PCI, rispetto ai pazienti STICHES sottoposti a CABG. Questa differenza può essere spiegata dalla diversa modalità di rivascolarizzazione coronarica o, ancora una volta, essere attribuita alle differenze di OMT tra i due studi? I presupposti del beneficio della rivascolarizzazione del miocardio vitale sono basati sul fatto che la ripresa di funzione contrattile del miocardio vitale si può tradurre nel miglioramento della FEVS e quindi degli esiti clinici a essa correlati. In REVIVED-BCIS2, in cui tutto il miocardio vitale è stato rivascolarizzato ma la rivascolarizzazione è stata completa solo nel 71% dei casi, la FEVS è migliorata di 1,8 punti percentuali a 6 mesi e di 2,0 punti percentuali a 12 mesi nel gruppo PCI; i valori corrispondenti a 6 e 12 mesi nel gruppo OMT erano rispettivamente di 3,4 e 1,1 punti percentuali. Il risultato finale è stato che la FEVS era simile nei due gruppi a 6 mesi (differenza media, -1,6 punti percentuali) e a 12 mesi (differenza media, 0,9 punti percentuali). In STICHES, studio in cui sono state probabilmente trattate tutte le stenosi “graftabili”, ma del quale non si conosce il grado di completezza della rivascolarizzazione, le variazioni della FEVS sono state analizzate in base allo stato di vitalità del miocardio indipendentemente dall’assegnazione del trattamento: miglioramento significativo del 2,3% a 4 mesi nei pazienti con miocardio vitale, nessuna variazione tra i pazienti senza miocardio vitale). Quando le variazioni della FEVS sono state analizzate in relazione al tipo di intervento (CABG vs OMT) e della presenza o assenza di vitalità, si è osservato nei pazienti un miglioramento della FEVS tra coloro che avevano vitalità indipendentemente dal tipo di trattamento assegnato, mentre quelli senza vitalità non miglioravano indipendentemente dal trattamento assegnato.
Il miglioramento della FEVS sembra dunque dipendere più dalla qualità dell’OMT piuttosto che dal tipo di rivascolarizzazione. In conclusione, allorché l’evidenza scientifica è carente (come in questo caso) per prendere decisioni nel singolo paziente con CMI è opportuno utilizzare il buon senso e il confronto con i Colleghi (discussione in Heart Team). La decisione di procedere o meno alla rivascolarizzazione coronarica (chirurgica o percutanea) deve tenere in considerazione tutte le variabili delle quali si è precedentemente parlato, calando il peso delle singole sulle caratteristiche cliniche e strumentali del paziente. In realtà, ciò di cui avremmo realmente bisogno è un confronto randomizzato testa a testa tra CABG, PCI e OMT. È iniziato l’arruolamento nello studio STICH3-BCIS4, che confronterà le due strategie di rivascolarizzazione in aggiunta a OMT in 630 pazienti con CMI. Si prevede che il reclutamento continuerà fino al 2032. Infine, lo studio MASS-VI (HF) ha invece recentemente completato l’arruolamento. Si tratta di uno studio monocentrico condotto in Brasile, che confronta OMT con il CABG in 600 pazienti con FEVS ≤35% e CAD multivasale[9]Chiew K, Chotai S, Al-Lamee R. Mode of revascularization for ischaemic cardiomyopathy: comparing apples with oranges? Eur Heart 2025;46, 2063–2065. https://doi.org/10.1093/eurheartj/ehaf201.
Ambedue gli studi daranno risultati importanti, ma nessuno dei due potrà rispondere alla domanda più importante: è opportuno rivascolarizzare questi pazienti o è sufficiente (se non meglio) basarsi sulla sola OMT?
Bibliografia[+]
| ↑1 | Velazquez EJ, Lee KL, Jones RH, et al. Coronary-Artery bypass surgery in patients with ischemic cardiomyopathy. N Engl J Med 2016;374:1511–20. https://doi.org/10.1056/NEJMoa1602001 |
|---|---|
| ↑2 | Perera D, Clayton T, ÒKane PD, et al. Percutaneous revascularization for ischemic left ventricular dysfunction. N Engl J Med 2022;387:1351–60. https://doi.org/10.1056/NEJMoa2206606 |
| ↑3 | Conrad N, Judge A, Tran J, Mohseni H, Hedgecott D, Crespillo AP, et al. Temporal trends and patterns in heart failure incidence: a population-based study of 4 million individuals. Lancet 2018;391:572–80. https://doi.org/10.1016/S0140-6736(17)32520-5. |
| ↑4 | Lawson CA, Zaccardi F, Squire I, Ling S, Davies MJ, Lam CSP, et al. 20-year trends in cause-specific heart failure outcomes by sex, socioeconomic status, and place of diagnosis: a population-based study. Lancet Public Health 2019;4:e406–20. https://doi.org/ 10.1016/S2468-2667(19)30108-2; Conrad N, Judge A, Canoy D, Tran J, Pinho-Gomes A-C, Millett ERC, et al. Temporal trends and patterns in mortality after incident heart failure. JAMA Cardiol 2019;4:1102–11. https://doi.org/10.1001/jamacardio.2019.3593 |
| ↑5 | Rahimtoola SH. The hibernating myocardium. Am Heart J 1989;117:211–21. https://doi. org/10.1016/0002-8703(89)90685-6. |
| ↑6 | Velazquez EJ, Lee KL, Jones RH, Al-Khalidi HR, Hill JA, Panza JA, et al. Coronary-Artery bypass surgery in patients with ischemic cardiomyopathy. N Engl J Med 2016;374:1511–20. https://doi.org/10.1056/NEJMoa1602001; Perera D, Clayton T, ÒKane PD, Greenwood JP, Weerackody R, Ryan M, et al. Percutaneous revascularization for ischemic left ventricular dysfunction. N Engl J Med 2022;387:1351–60. https://doi.org/10.1056/NEJMoa2206606 |
| ↑7 | Ryan M, Petrie MC, Kontopantelis E, et al. Medical therapy and outcomes in REVIVED-BCIS2 and STICHES: an individual patient data analysis. Eur Heart J 2025; 46, 2052–2062 |
| ↑8 | Panza JA, Ellis AM, Al-Khalidi HR, Holly TA, Berman DS, Oh JK, et al. Myocardial viability and long-term outcomes in ischemic cardiomyopathy. N Engl J Med 2019;381:739–48. https://doi.org/10.1056/NEJMoa1807365 |
| ↑9 | Chiew K, Chotai S, Al-Lamee R. Mode of revascularization for ischaemic cardiomyopathy: comparing apples with oranges? Eur Heart 2025;46, 2063–2065. https://doi.org/10.1093/eurheartj/ehaf201 |
Accedi per leggere tutto l'articolo
Inserisci i dati del tuo account su Cardiotalk per accedere e leggere tutto il contenuto dell'articolo.
Se non hai un account, clicca sul pulsante registrati e verrai reindirizzato al portale Cardiotalk per la registrazione.